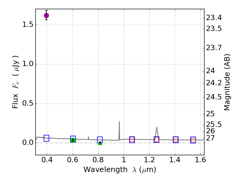
RXS0603+42-N IR detection object #4949

Color images and BPZ results
Catalog: 4949.cat
Black segments are analyzed here.   Roll mouse over color images to view segments.
Best viewed in a wide browser window (1200 pixels or more).   Download SED & P(z) plots to view larger versions.
In P(z) plots: Yellow lines mark the cluster redshift z = 0.228,  

Object #4949   x,y = (1359, 1825)   RA, Dec = (06:03:20.304, 42:15:07.20) = (90.83460, 42.25200)   BPZ = 1.594 [1.299--2.076]   type = 11.00 (SB11_A_0_l)   stellarity = 0.94   chisq2 = 731.50   ODDS = 0.41   z_cluster = 0.228