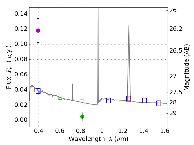
RXS0603+42-N IR detection object #4610

Color images and BPZ results
Catalog: 4610.cat
Black segments are analyzed here.   Roll mouse over color images to view segments.
Best viewed in a wide browser window (1200 pixels or more).   Download SED & P(z) plots to view larger versions.
In P(z) plots: Yellow lines mark the cluster redshift z = 0.228,  

Object #4610   x,y = (4364, 1940)   RA, Dec = (06:03:04.080, 42:15:14.04) = (90.76700, 42.25390)   BPZ = 1.595 [1.095--2.319]   type = 11.00 (SB11_A_0_l)   stellarity = 0.43   chisq2 = 32.58   ODDS = 0.28   z_cluster = 0.228