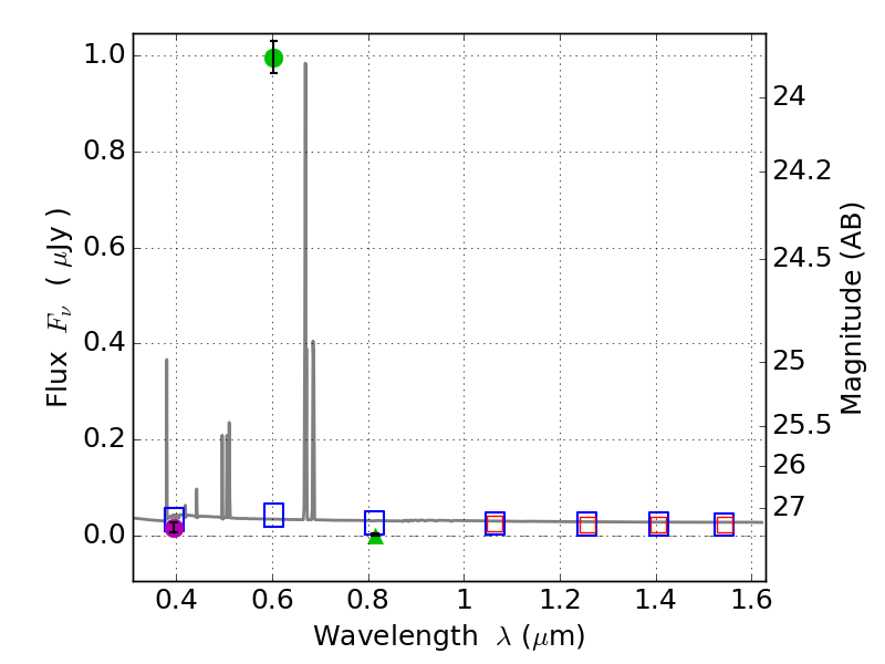
RXS0603+42-N IR detection object #457

Color images and BPZ results
Catalog: 457.cat
Black segments are analyzed here.   Roll mouse over color images to view segments.
Best viewed in a wide browser window (1200 pixels or more).   Download SED & P(z) plots to view larger versions.
In P(z) plots: Yellow lines mark the cluster redshift z = 0.228,  

Object #457   x,y = (2821, 3592)   RA, Dec = (06:03:12.408, 42:16:53.40) = (90.80170, 42.28150)   BPZ = 0.023 [0.010--2.574]   type = 11.00 (SB11_A_0_l)   stellarity = 0.92   chisq2 = 800.20   ODDS = 0.85   z_cluster = 0.228