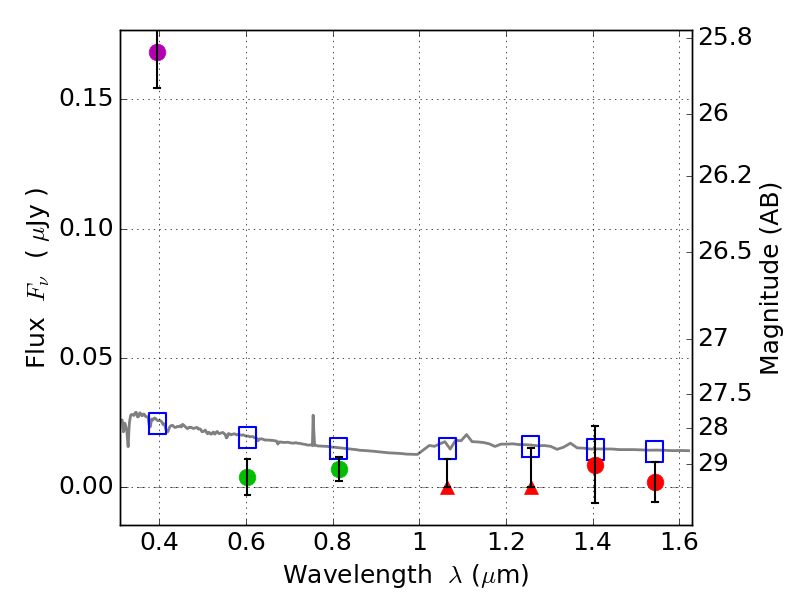
RXS0603+42-N IR detection object #4524

Color images and BPZ results
Catalog: 4524.cat
Black segments are analyzed here.   Roll mouse over color images to view segments.
Best viewed in a wide browser window (1200 pixels or more).   Download SED & P(z) plots to view larger versions.
In P(z) plots: Yellow lines mark the cluster redshift z = 0.228,  

Object #4524   x,y = (3468, 1976)   RA, Dec = (06:03:08.928, 42:15:16.20) = (90.78720, 42.25450)   BPZ = 1.700 [0.949--2.310]   type = 11.00 (SB11_A_0_l)   stellarity = 0.61   chisq2 = 28.58   ODDS = 0.41   z_cluster = 0.228