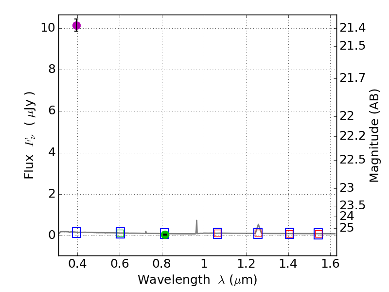
RXS0603+42-N IR detection object #4519

Color images and BPZ results
Catalog: 4519.cat
Black segments are analyzed here.   Roll mouse over color images to view segments.
Best viewed in a wide browser window (1200 pixels or more).   Download SED & P(z) plots to view larger versions.
In P(z) plots: Yellow lines mark the cluster redshift z = 0.228,  

Object #4519   x,y = (4625, 2195)   RA, Dec = (06:03:02.664, 42:15:29.52) = (90.76110, 42.25820)   BPZ = 1.594 [1.214--2.181]   type = 11.00 (SB11_A_0_l)   stellarity = 1.00   chisq2 = 1116.00   ODDS = 0.35   z_cluster = 0.228