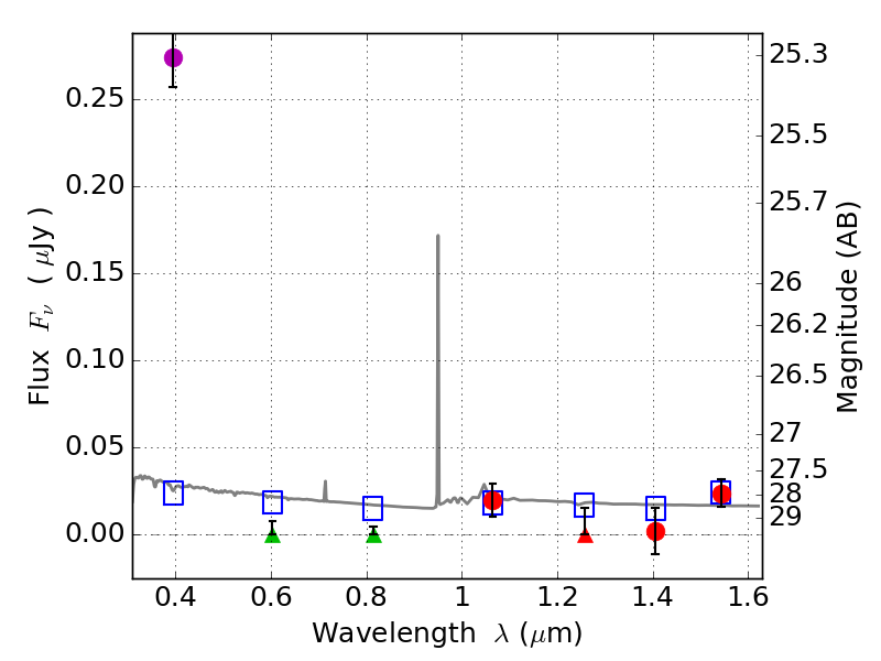
RXS0603+42-N IR detection object #4512

Color images and BPZ results
Catalog: 4512.cat
Black segments are analyzed here.   Roll mouse over color images to view segments.
Best viewed in a wide browser window (1200 pixels or more).   Download SED & P(z) plots to view larger versions.
In P(z) plots: Yellow lines mark the cluster redshift z = 0.228,  

Object #4512   x,y = (3175, 1980)   RA, Dec = (06:03:10.512, 42:15:16.56) = (90.79380, 42.25460)   BPZ = 1.555 [1.163--2.190]   type = 11.00 (SB11_A_0_l)   stellarity = 0.65   chisq2 = 54.81   ODDS = 0.32   z_cluster = 0.228