RXS0603+42-N IR detection object #4494

Color images and BPZ results
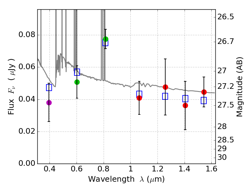
Catalog: 4494.cat
Black segments are analyzed here.   Roll mouse over color images to view segments.
Best viewed in a wide browser window (1200 pixels or more).   Download SED & P(z) plots to view larger versions.
In P(z) plots: Yellow lines mark the cluster redshift z = 0.228,  

Object #4494   x,y = (2864, 1985)   RA, Dec = (06:03:12.192, 42:15:16.92) = (90.80080, 42.25470)   BPZ = 0.199 [0.094--0.359]   type = 11.00 (SB11_A_0_l)   stellarity = 0.43   chisq2 = 0.34   ODDS = 0.52   z_cluster = 0.228