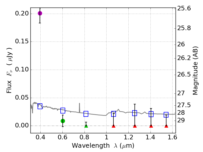
RXS0603+42-N IR detection object #4459

Color images and BPZ results
Catalog: 4459.cat
Black segments are analyzed here.   Roll mouse over color images to view segments.
Best viewed in a wide browser window (1200 pixels or more).   Download SED & P(z) plots to view larger versions.
In P(z) plots: Yellow lines mark the cluster redshift z = 0.228,  

Object #4459   x,y = (4038, 1990)   RA, Dec = (06:03:05.832, 42:15:16.92) = (90.77430, 42.25470)   BPZ = 1.700 [1.104--2.261]   type = 11.00 (SB11_A_0_l)   stellarity = 0.44   chisq2 = 24.81   ODDS = 0.40   z_cluster = 0.228