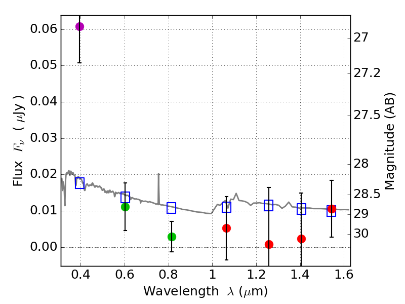
RXS0603+42-N IR detection object #4457

Color images and BPZ results
Catalog: 4457.cat
Black segments are analyzed here.   Roll mouse over color images to view segments.
Best viewed in a wide browser window (1200 pixels or more).   Download SED & P(z) plots to view larger versions.
In P(z) plots: Yellow lines mark the cluster redshift z = 0.228,  

Object #4457   x,y = (1857, 1994)   RA, Dec = (06:03:17.616, 42:15:17.28) = (90.82340, 42.25480)   BPZ = 1.701 [0.640--2.701]   type = 11.00 (SB11_A_0_l)   stellarity = 0.37   chisq2 = 5.63   ODDS = 0.21   z_cluster = 0.228