RXS0603+42-N IR detection object #4443

Color images and BPZ results
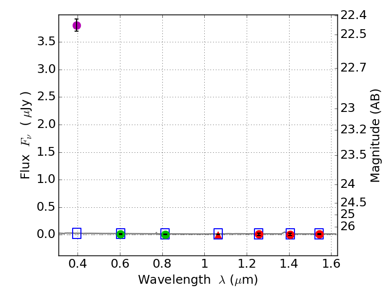
Catalog: 4443.cat
Black segments are analyzed here.   Roll mouse over color images to view segments.
Best viewed in a wide browser window (1200 pixels or more).   Download SED & P(z) plots to view larger versions.
In P(z) plots: Yellow lines mark the cluster redshift z = 0.228,  

Object #4443   x,y = (3213, 1999)   RA, Dec = (06:03:10.296, 42:15:17.64) = (90.79290, 42.25490)   BPZ = 1.763 [0.499--2.940]   type = 11.00 (SB11_A_0_l)   stellarity = 1.00   chisq2 = 281.40   ODDS = 0.21   z_cluster = 0.228