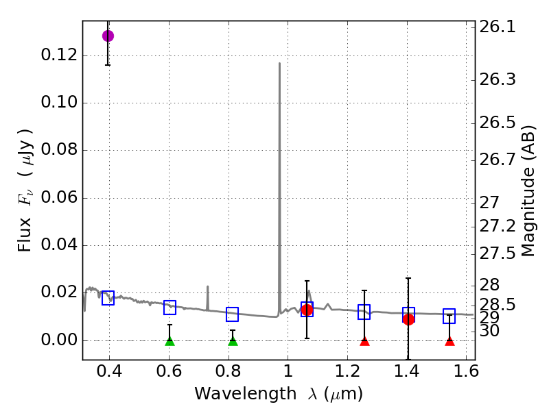
RXS0603+42-N IR detection object #4433

Color images and BPZ results
Catalog: 4433.cat
Black segments are analyzed here.   Roll mouse over color images to view segments.
Best viewed in a wide browser window (1200 pixels or more).   Download SED & P(z) plots to view larger versions.
In P(z) plots: Yellow lines mark the cluster redshift z = 0.228,  

Object #4433   x,y = (2330, 2004)   RA, Dec = (06:03:15.072, 42:15:18.00) = (90.81280, 42.25500)   BPZ = 1.612 [0.711--2.457]   type = 11.00 (SB11_A_0_l)   stellarity = 0.43   chisq2 = 22.16   ODDS = 0.27   z_cluster = 0.228