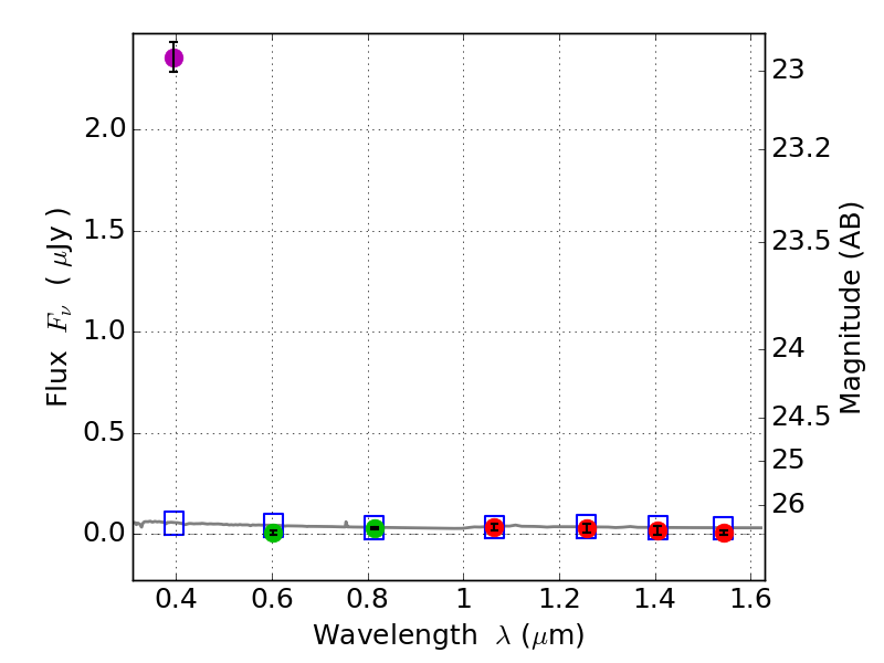
RXS0603+42-N IR detection object #4420

Color images and BPZ results
Catalog: 4420.cat
Black segments are analyzed here.   Roll mouse over color images to view segments.
Best viewed in a wide browser window (1200 pixels or more).   Download SED & P(z) plots to view larger versions.
In P(z) plots: Yellow lines mark the cluster redshift z = 0.228,  

Object #4420   x,y = (3177, 2007)   RA, Dec = (06:03:10.488, 42:15:18.00) = (90.79370, 42.25500)   BPZ = 1.703 [0.841--2.110]   type = 11.00 (SB11_A_0_l)   stellarity = 0.65   chisq2 = 255.50   ODDS = 0.47   z_cluster = 0.228