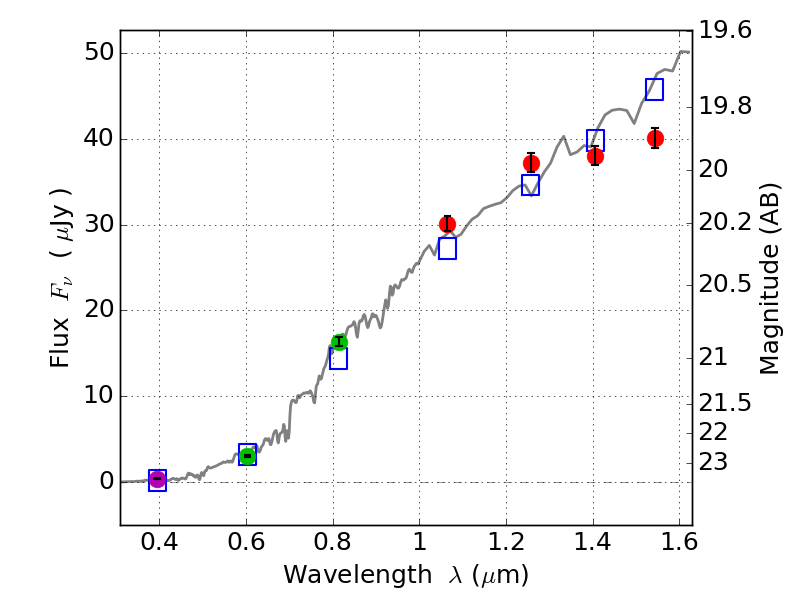
RXS0603+42-N IR detection object #4354

Color images and BPZ results
Catalog: 4354.cat
Black segments are analyzed here.   Roll mouse over color images to view segments.
Best viewed in a wide browser window (1200 pixels or more).   Download SED & P(z) plots to view larger versions.
In P(z) plots: Yellow lines mark the cluster redshift z = 0.228,  

Object #4354   x,y = (3854, 2143)   RA, Dec = (06:03:06.840, 42:15:26.28) = (90.77850, 42.25730)   BPZ = 0.765 [0.737--0.791]   type = 4.00 (Ell4_A_0)   stellarity = 0.91   chisq2 = 1.29   ODDS = 1.00   z_cluster = 0.228