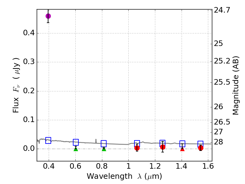
RXS0603+42-N IR detection object #4317

Color images and BPZ results
Catalog: 4317.cat
Black segments are analyzed here.   Roll mouse over color images to view segments.
Best viewed in a wide browser window (1200 pixels or more).   Download SED & P(z) plots to view larger versions.
In P(z) plots: Yellow lines mark the cluster redshift z = 0.228,  

Object #4317   x,y = (3102, 2029)   RA, Dec = (06:03:10.896, 42:15:19.44) = (90.79540, 42.25540)   BPZ = 1.700 [1.101--2.232]   type = 11.00 (SB11_A_0_l)   stellarity = 0.80   chisq2 = 86.90   ODDS = 0.45   z_cluster = 0.228