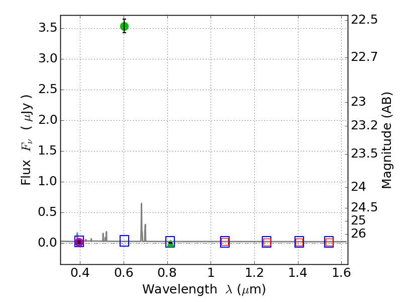
RXS0603+42-N IR detection object #4299

Color images and BPZ results
Catalog: 4299.cat
Black segments are analyzed here.   Roll mouse over color images to view segments.
Best viewed in a wide browser window (1200 pixels or more).   Download SED & P(z) plots to view larger versions.
In P(z) plots: Yellow lines mark the cluster redshift z = 0.228,  

Object #4299   x,y = (4378, 2061)   RA, Dec = (06:03:04.008, 42:15:21.24) = (90.76670, 42.25590)   BPZ = 0.037 [0.037--2.655]   type = 11.00 (SB11_A_0_l)   stellarity = 0.99   chisq2 = 1079.00   ODDS = 0.06   z_cluster = 0.228