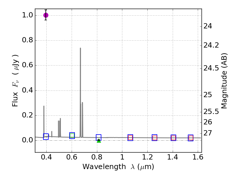
RXS0603+42-N IR detection object #426

Color images and BPZ results
Catalog: 426.cat
Black segments are analyzed here.   Roll mouse over color images to view segments.
Best viewed in a wide browser window (1200 pixels or more).   Download SED & P(z) plots to view larger versions.
In P(z) plots: Yellow lines mark the cluster redshift z = 0.228,  

Object #426   x,y = (3010, 3600)   RA, Dec = (06:03:11.400, 42:16:53.76) = (90.79750, 42.28160)   BPZ = 0.023 [0.010--0.587]   type = 11.00 (SB11_A_0_l)   stellarity = 1.00   chisq2 = 571.10   ODDS = 0.84   z_cluster = 0.228