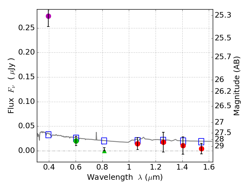
RXS0603+42-N IR detection object #4252

Color images and BPZ results
Catalog: 4252.cat
Black segments are analyzed here.   Roll mouse over color images to view segments.
Best viewed in a wide browser window (1200 pixels or more).   Download SED & P(z) plots to view larger versions.
In P(z) plots: Yellow lines mark the cluster redshift z = 0.228,  

Object #4252   x,y = (3152, 2051)   RA, Dec = (06:03:10.632, 42:15:20.88) = (90.79430, 42.25580)   BPZ = 1.701 [1.126--2.258]   type = 11.00 (SB11_A_0_l)   stellarity = 0.62   chisq2 = 33.93   ODDS = 0.46   z_cluster = 0.228