RXS0603+42-N IR detection object #4221

Color images and BPZ results
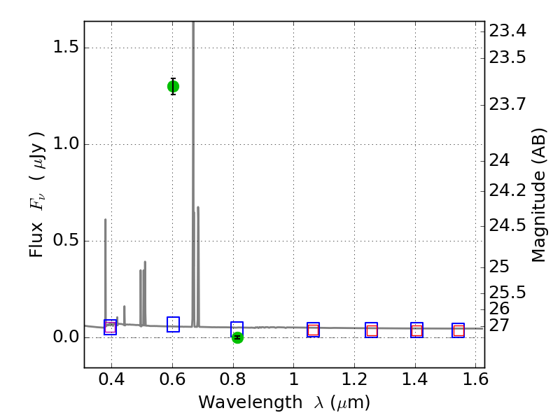
Catalog: 4221.cat
Black segments are analyzed here.   Roll mouse over color images to view segments.
Best viewed in a wide browser window (1200 pixels or more).   Download SED & P(z) plots to view larger versions.
In P(z) plots: Yellow lines mark the cluster redshift z = 0.228,  

Object #4221   x,y = (1420, 2269)   RA, Dec = (06:03:19.992, 42:15:33.84) = (90.83330, 42.25940)   BPZ = 0.021 [0.010--2.348]   type = 11.00 (SB11_A_0_l)   stellarity = 1.00   chisq2 = 889.50   ODDS = 0.90   z_cluster = 0.228