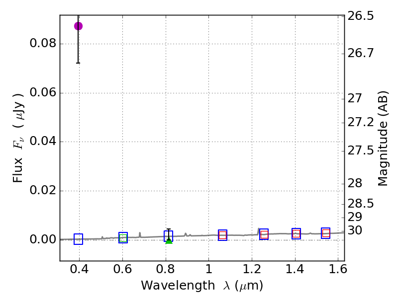
RXS0603+42-N IR detection object #4219

Color images and BPZ results
Catalog: 4219.cat
Black segments are analyzed here.   Roll mouse over color images to view segments.
Best viewed in a wide browser window (1200 pixels or more).   Download SED & P(z) plots to view larger versions.
In P(z) plots: Yellow lines mark the cluster redshift z = 0.228,  

Object #4219   x,y = (4486, 2071)   RA, Dec = (06:03:03.408, 42:15:21.96) = (90.76420, 42.25610)   BPZ = 0.361 [0.034--0.859]   type = 7.00 (Scd_B10)   stellarity = 0.56   chisq2 = 32.94   ODDS = 0.18   z_cluster = 0.228