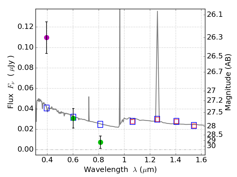
RXS0603+42-N IR detection object #4058

Color images and BPZ results
Catalog: 4058.cat
Black segments are analyzed here.   Roll mouse over color images to view segments.
Best viewed in a wide browser window (1200 pixels or more).   Download SED & P(z) plots to view larger versions.
In P(z) plots: Yellow lines mark the cluster redshift z = 0.228,  

Object #4058   x,y = (4213, 2127)   RA, Dec = (06:03:04.896, 42:15:25.20) = (90.77040, 42.25700)   BPZ = 1.595 [1.176--2.290]   type = 11.00 (SB11_A_0_l)   stellarity = 0.36   chisq2 = 26.33   ODDS = 0.29   z_cluster = 0.228