RXS0603+42-N IR detection object #4023

Color images and BPZ results
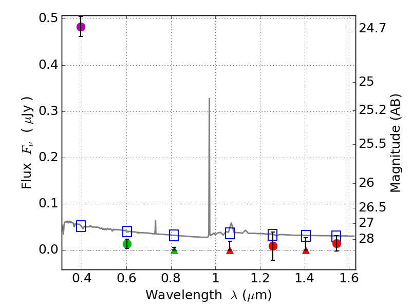
Catalog: 4023.cat
Black segments are analyzed here.   Roll mouse over color images to view segments.
Best viewed in a wide browser window (1200 pixels or more).   Download SED & P(z) plots to view larger versions.
In P(z) plots: Yellow lines mark the cluster redshift z = 0.228,  

Object #4023   x,y = (1685, 2140)   RA, Dec = (06:03:18.552, 42:15:25.92) = (90.82730, 42.25720)   BPZ = 1.610 [1.443--1.978]   type = 11.00 (SB11_A_0_l)   stellarity = 0.67   chisq2 = 108.20   ODDS = 0.53   z_cluster = 0.228