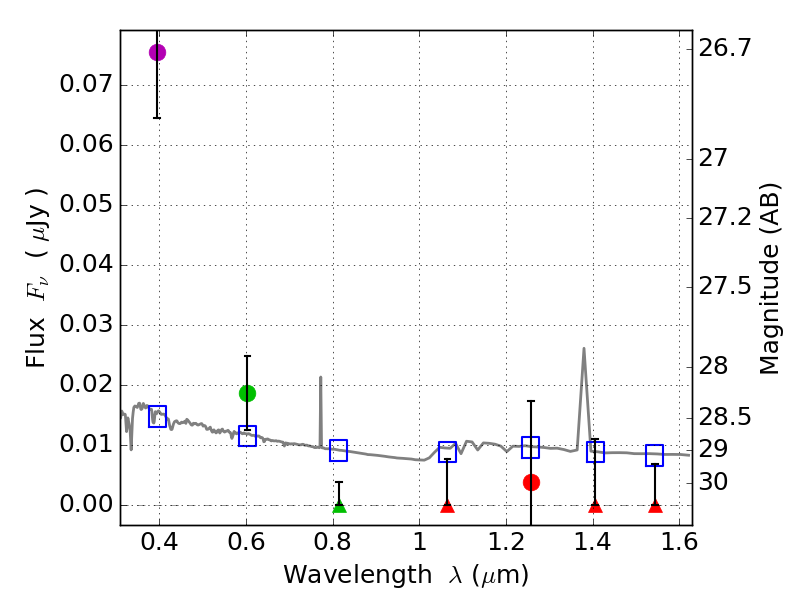
RXS0603+42-N IR detection object #3944

Color images and BPZ results
Catalog: 3944.cat
Black segments are analyzed here.   Roll mouse over color images to view segments.
Best viewed in a wide browser window (1200 pixels or more).   Download SED & P(z) plots to view larger versions.
In P(z) plots: Yellow lines mark the cluster redshift z = 0.228,  

Object #3944   x,y = (2658, 2165)   RA, Dec = (06:03:13.296, 42:15:27.72) = (90.80540, 42.25770)   BPZ = 1.763 [0.431--2.832]   type = 11.00 (SB11_A_0_l)   stellarity = 0.40   chisq2 = 9.96   ODDS = 0.24   z_cluster = 0.228