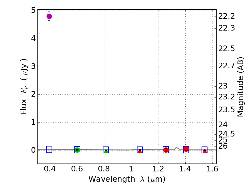
RXS0603+42-N IR detection object #3883

Color images and BPZ results
Catalog: 3883.cat
Black segments are analyzed here.   Roll mouse over color images to view segments.
Best viewed in a wide browser window (1200 pixels or more).   Download SED & P(z) plots to view larger versions.
In P(z) plots: Yellow lines mark the cluster redshift z = 0.228,  

Object #3883   x,y = (1593, 2361)   RA, Dec = (06:03:19.056, 42:15:39.24) = (90.82940, 42.26090)   BPZ = 1.693 [0.425--3.462]   type = 11.00 (SB11_A_0_l)   stellarity = 0.94   chisq2 = 272.00   ODDS = 0.21   z_cluster = 0.228