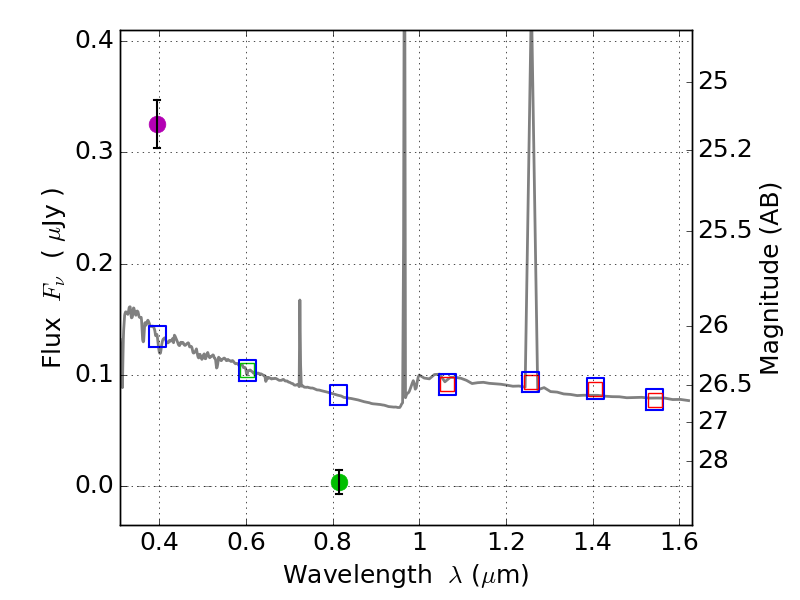
RXS0603+42-N IR detection object #3754

Color images and BPZ results
Catalog: 3754.cat
Black segments are analyzed here.   Roll mouse over color images to view segments.
Best viewed in a wide browser window (1200 pixels or more).   Download SED & P(z) plots to view larger versions.
In P(z) plots: Yellow lines mark the cluster redshift z = 0.228,  

Object #3754   x,y = (4628, 2237)   RA, Dec = (06:03:02.640, 42:15:32.04) = (90.76100, 42.25890)   BPZ = 1.594 [1.413--1.910]   type = 11.00 (SB11_A_0_l)   stellarity = 0.77   chisq2 = 96.74   ODDS = 0.60   z_cluster = 0.228