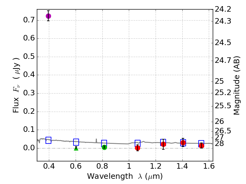
RXS0603+42-N IR detection object #3741

Color images and BPZ results
Catalog: 3741.cat
Black segments are analyzed here.   Roll mouse over color images to view segments.
Best viewed in a wide browser window (1200 pixels or more).   Download SED & P(z) plots to view larger versions.
In P(z) plots: Yellow lines mark the cluster redshift z = 0.228,  

Object #3741   x,y = (1605, 2243)   RA, Dec = (06:03:18.984, 42:15:32.40) = (90.82910, 42.25900)   BPZ = 1.696 [1.335--2.067]   type = 11.00 (SB11_A_0_l)   stellarity = 0.94   chisq2 = 149.60   ODDS = 0.54   z_cluster = 0.228