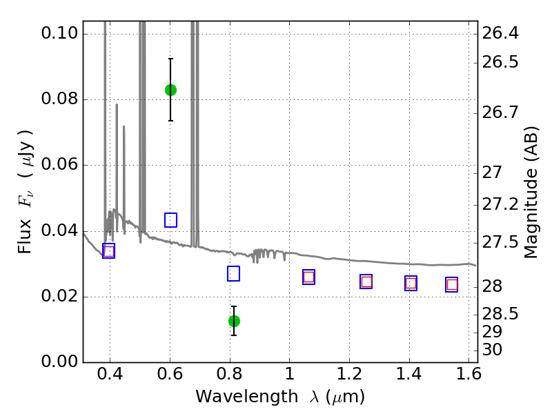
RXS0603+42-N IR detection object #3708

Color images and BPZ results
Catalog: 3708.cat
Black segments are analyzed here.   Roll mouse over color images to view segments.
Best viewed in a wide browser window (1200 pixels or more).   Download SED & P(z) plots to view larger versions.
In P(z) plots: Yellow lines mark the cluster redshift z = 0.228,  

Object #3708   x,y = (1441, 2259)   RA, Dec = (06:03:19.872, 42:15:33.12) = (90.83280, 42.25920)   BPZ = 0.026 [0.018--3.057]   type = 11.00 (SB11_A_0_l)   stellarity = 0.74   chisq2 = 23.66   ODDS = 0.13   z_cluster = 0.228