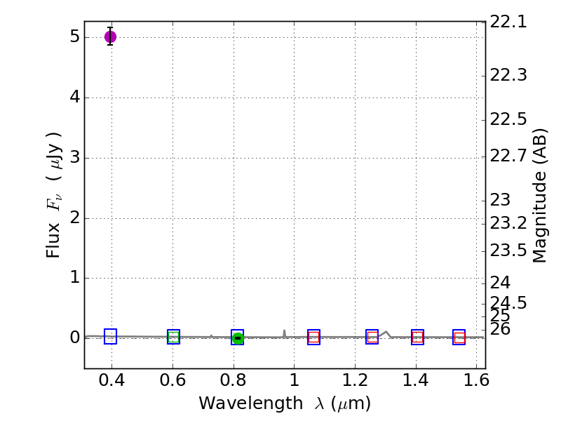
RXS0603+42-N IR detection object #367

Color images and BPZ results
Catalog: 367.cat
Black segments are analyzed here.   Roll mouse over color images to view segments.
Best viewed in a wide browser window (1200 pixels or more).   Download SED & P(z) plots to view larger versions.
In P(z) plots: Yellow lines mark the cluster redshift z = 0.228,  

Object #367   x,y = (2891, 3632)   RA, Dec = (06:03:12.024, 42:16:55.56) = (90.80010, 42.28210)   BPZ = 1.596 [0.434--6.886]   type = 11.00 (SB11_A_0_l)   stellarity = 1.00   chisq2 = 1123.00   ODDS = 0.13   z_cluster = 0.228