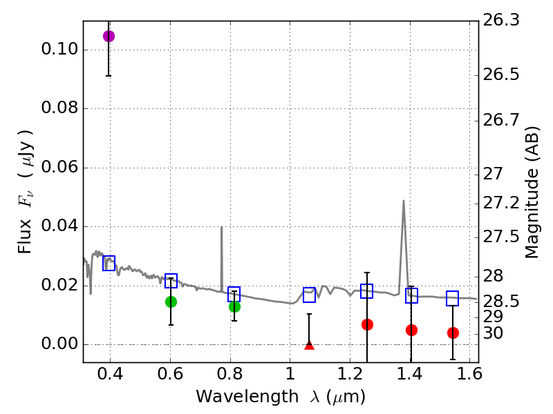
RXS0603+42-N IR detection object #3656

Color images and BPZ results
Catalog: 3656.cat
Black segments are analyzed here.   Roll mouse over color images to view segments.
Best viewed in a wide browser window (1200 pixels or more).   Download SED & P(z) plots to view larger versions.
In P(z) plots: Yellow lines mark the cluster redshift z = 0.228,  

Object #3656   x,y = (3270, 2281)   RA, Dec = (06:03:09.984, 42:15:34.56) = (90.79160, 42.25960)   BPZ = 1.764 [0.687--2.483]   type = 11.00 (SB11_A_0_l)   stellarity = 0.36   chisq2 = 9.42   ODDS = 0.31   z_cluster = 0.228