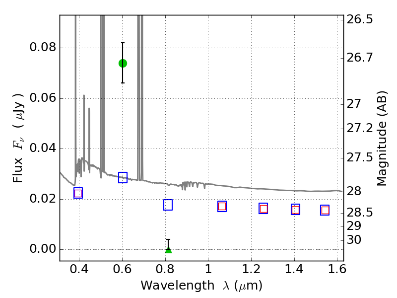
RXS0603+42-N IR detection object #364

Color images and BPZ results
Catalog: 364.cat
Black segments are analyzed here.   Roll mouse over color images to view segments.
Best viewed in a wide browser window (1200 pixels or more).   Download SED & P(z) plots to view larger versions.
In P(z) plots: Yellow lines mark the cluster redshift z = 0.228,  

Object #364   x,y = (2148, 3637)   RA, Dec = (06:03:16.056, 42:16:55.92) = (90.81690, 42.28220)   BPZ = 0.026 [0.017--3.075]   type = 11.00 (SB11_A_0_l)   stellarity = 0.83   chisq2 = 46.64   ODDS = 0.14   z_cluster = 0.228