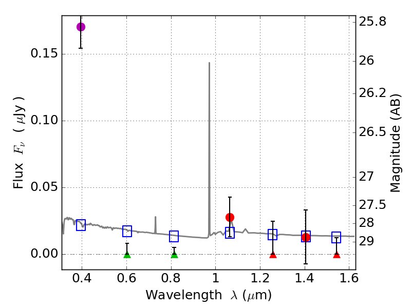
RXS0603+42-N IR detection object #3618

Color images and BPZ results
Catalog: 3618.cat
Black segments are analyzed here.   Roll mouse over color images to view segments.
Best viewed in a wide browser window (1200 pixels or more).   Download SED & P(z) plots to view larger versions.
In P(z) plots: Yellow lines mark the cluster redshift z = 0.228,  

Object #3618   x,y = (1628, 2297)   RA, Dec = (06:03:18.864, 42:15:35.64) = (90.82860, 42.25990)   BPZ = 1.612 [0.675--2.408]   type = 11.00 (SB11_A_0_l)   stellarity = 0.59   chisq2 = 24.29   ODDS = 0.28   z_cluster = 0.228