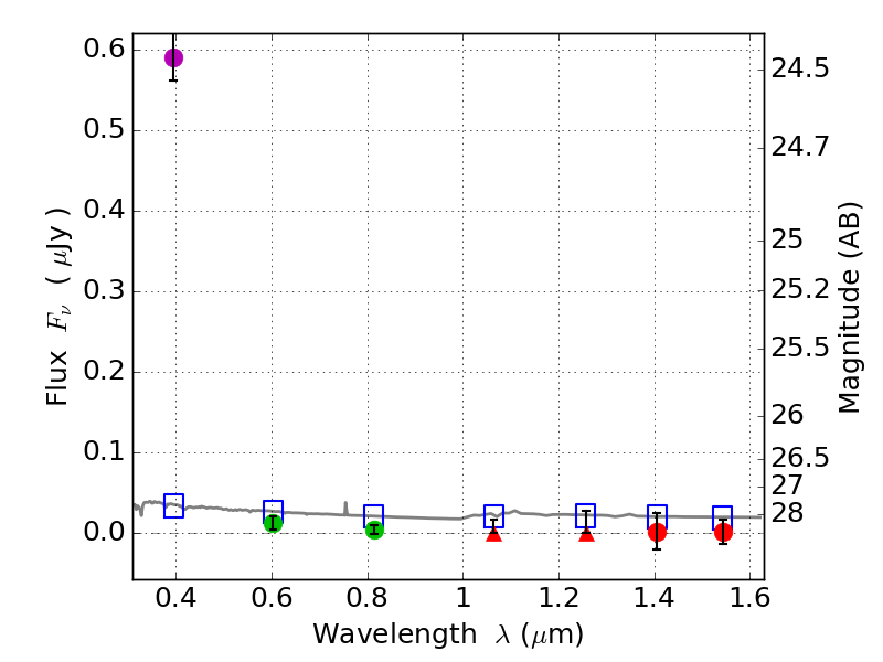
RXS0603+42-N IR detection object #3586

Color images and BPZ results
Catalog: 3586.cat
Black segments are analyzed here.   Roll mouse over color images to view segments.
Best viewed in a wide browser window (1200 pixels or more).   Download SED & P(z) plots to view larger versions.
In P(z) plots: Yellow lines mark the cluster redshift z = 0.228,  

Object #3586   x,y = (1600, 2304)   RA, Dec = (06:03:19.008, 42:15:36.00) = (90.82920, 42.26000)   BPZ = 1.700 [1.217--2.221]   type = 11.00 (SB11_A_0_l)   stellarity = 0.64   chisq2 = 95.81   ODDS = 0.45   z_cluster = 0.228