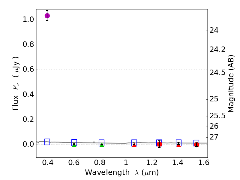
RXS0603+42-N IR detection object #3556

Color images and BPZ results
Catalog: 3556.cat
Black segments are analyzed here.   Roll mouse over color images to view segments.
Best viewed in a wide browser window (1200 pixels or more).   Download SED & P(z) plots to view larger versions.
In P(z) plots: Yellow lines mark the cluster redshift z = 0.228,  

Object #3556   x,y = (1569, 2315)   RA, Dec = (06:03:19.176, 42:15:36.72) = (90.82990, 42.26020)   BPZ = 1.699 [0.754--2.621]   type = 11.00 (SB11_A_0_l)   stellarity = 0.98   chisq2 = 166.70   ODDS = 0.30   z_cluster = 0.228