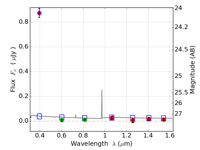
RXS0603+42-N IR detection object #3545

Color images and BPZ results
Catalog: 3545.cat
Black segments are analyzed here.   Roll mouse over color images to view segments.
Best viewed in a wide browser window (1200 pixels or more).   Download SED & P(z) plots to view larger versions.
In P(z) plots: Yellow lines mark the cluster redshift z = 0.228,  

Object #3545   x,y = (1654, 2422)   RA, Dec = (06:03:18.720, 42:15:43.20) = (90.82800, 42.26200)   BPZ = 1.612 [1.111--2.153]   type = 11.00 (SB11_A_0_l)   stellarity = 0.80   chisq2 = 131.30   ODDS = 0.40   z_cluster = 0.228