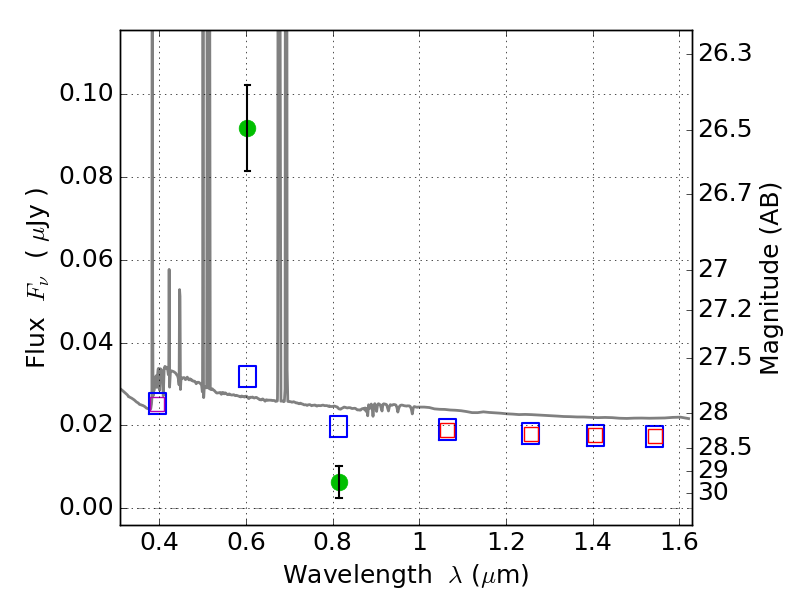
RXS0603+42-N IR detection object #3523

Color images and BPZ results
Catalog: 3523.cat
Black segments are analyzed here.   Roll mouse over color images to view segments.
Best viewed in a wide browser window (1200 pixels or more).   Download SED & P(z) plots to view larger versions.
In P(z) plots: Yellow lines mark the cluster redshift z = 0.228,  

Object #3523   x,y = (1453, 2332)   RA, Dec = (06:03:19.800, 42:15:37.44) = (90.83250, 42.26040)   BPZ = 0.027 [0.029--3.234]   type = 11.00 (SB11_A_0_l)   stellarity = 0.74   chisq2 = 41.56   ODDS = 0.05   z_cluster = 0.228