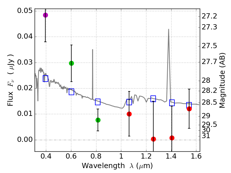
RXS0603+42-N IR detection object #3471

Color images and BPZ results
Catalog: 3471.cat
Black segments are analyzed here.   Roll mouse over color images to view segments.
Best viewed in a wide browser window (1200 pixels or more).   Download SED & P(z) plots to view larger versions.
In P(z) plots: Yellow lines mark the cluster redshift z = 0.228,  

Object #3471   x,y = (1748, 2348)   RA, Dec = (06:03:18.216, 42:15:38.52) = (90.82590, 42.26070)   BPZ = 1.765 [0.592--2.746]   type = 11.00 (SB11_A_0_l)   stellarity = 0.36   chisq2 = 3.20   ODDS = 0.23   z_cluster = 0.228