RXS0603+42-N IR detection object #3447

Color images and BPZ results
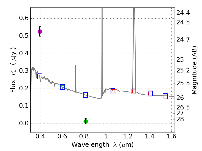
Catalog: 3447.cat
Black segments are analyzed here.   Roll mouse over color images to view segments.
Best viewed in a wide browser window (1200 pixels or more).   Download SED & P(z) plots to view larger versions.
In P(z) plots: Yellow lines mark the cluster redshift z = 0.228,  

Object #3447   x,y = (4586, 2353)   RA, Dec = (06:03:02.880, 42:15:38.88) = (90.76200, 42.26080)   BPZ = 1.593 [1.462--1.833]   type = 11.00 (SB11_A_0_l)   stellarity = 0.74   chisq2 = 99.11   ODDS = 0.73   z_cluster = 0.228