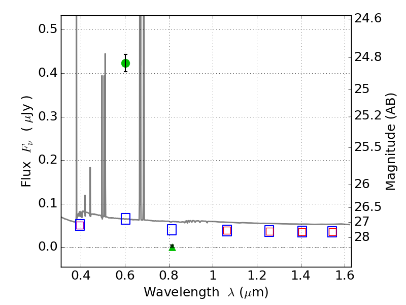
RXS0603+42-N IR detection object #3439

Color images and BPZ results
Catalog: 3439.cat
Black segments are analyzed here.   Roll mouse over color images to view segments.
Best viewed in a wide browser window (1200 pixels or more).   Download SED & P(z) plots to view larger versions.
In P(z) plots: Yellow lines mark the cluster redshift z = 0.228,  

Object #3439   x,y = (1462, 2358)   RA, Dec = (06:03:19.752, 42:15:39.24) = (90.83230, 42.26090)   BPZ = 0.019 [0.010--0.043]   type = 11.00 (SB11_A_0_l)   stellarity = 0.99   chisq2 = 362.90   ODDS = 1.00   z_cluster = 0.228