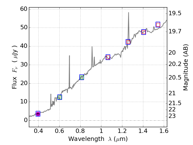
RXS0603+42-N IR detection object #3430

Color images and BPZ results
Catalog: 3430.cat
Black segments are analyzed here.   Roll mouse over color images to view segments.
Best viewed in a wide browser window (1200 pixels or more).   Download SED & P(z) plots to view larger versions.
In P(z) plots: Yellow lines mark the cluster redshift z = 0.228,  

Object #3430   x,y = (4739, 2359)   RA, Dec = (06:03:02.040, 42:15:39.24) = (90.75850, 42.26090)   BPZ = 0.392 [0.051--0.865]   type = 6.60 (Scd_B10 - Sbc_B10)   stellarity = 0.95   chisq2 = 990.00   ODDS = 0.20   z_cluster = 0.228