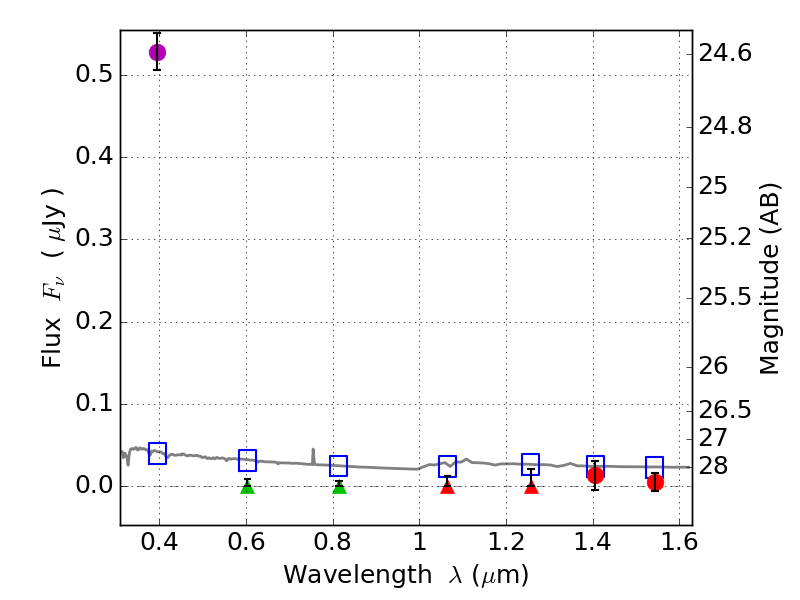
RXS0603+42-N IR detection object #3420

Color images and BPZ results
Catalog: 3420.cat
Black segments are analyzed here.   Roll mouse over color images to view segments.
Best viewed in a wide browser window (1200 pixels or more).   Download SED & P(z) plots to view larger versions.
In P(z) plots: Yellow lines mark the cluster redshift z = 0.228,  

Object #3420   x,y = (1814, 2364)   RA, Dec = (06:03:17.856, 42:15:39.60) = (90.82440, 42.26100)   BPZ = 1.699 [1.422--2.084]   type = 11.00 (SB11_A_0_l)   stellarity = 0.82   chisq2 = 121.10   ODDS = 0.58   z_cluster = 0.228