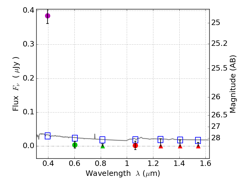
RXS0603+42-N IR detection object #3392

Color images and BPZ results
Catalog: 3392.cat
Black segments are analyzed here.   Roll mouse over color images to view segments.
Best viewed in a wide browser window (1200 pixels or more).   Download SED & P(z) plots to view larger versions.
In P(z) plots: Yellow lines mark the cluster redshift z = 0.228,  

Object #3392   x,y = (1698, 2372)   RA, Dec = (06:03:18.480, 42:15:39.96) = (90.82700, 42.26110)   BPZ = 1.700 [1.058--2.291]   type = 11.00 (SB11_A_0_l)   stellarity = 0.73   chisq2 = 62.95   ODDS = 0.42   z_cluster = 0.228