RXS0603+42-N IR detection object #3383

Color images and BPZ results
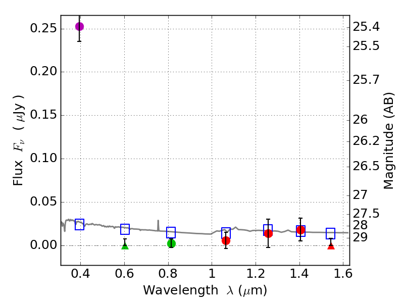
Catalog: 3383.cat
Black segments are analyzed here.   Roll mouse over color images to view segments.
Best viewed in a wide browser window (1200 pixels or more).   Download SED & P(z) plots to view larger versions.
In P(z) plots: Yellow lines mark the cluster redshift z = 0.228,  

Object #3383   x,y = (2338, 2375)   RA, Dec = (06:03:15.024, 42:15:40.32) = (90.81260, 42.26120)   BPZ = 1.696 [0.972--2.270]   type = 11.00 (SB11_A_0_l)   stellarity = 0.73   chisq2 = 45.93   ODDS = 0.44   z_cluster = 0.228