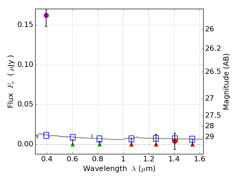
RXS0603+42-N IR detection object #3359

Color images and BPZ results
Catalog: 3359.cat
Black segments are analyzed here.   Roll mouse over color images to view segments.
Best viewed in a wide browser window (1200 pixels or more).   Download SED & P(z) plots to view larger versions.
In P(z) plots: Yellow lines mark the cluster redshift z = 0.228,  

Object #3359   x,y = (2271, 2381)   RA, Dec = (06:03:15.384, 42:15:40.68) = (90.81410, 42.26130)   BPZ = 1.699 [0.417--5.854]   type = 11.00 (SB11_A_0_l)   stellarity = 0.61   chisq2 = 30.05   ODDS = 0.17   z_cluster = 0.228