RXS0603+42-N IR detection object #3338

Color images and BPZ results
Catalog: 3338.cat
Black segments are analyzed here.   Roll mouse over color images to view segments.
Best viewed in a wide browser window (1200 pixels or more).   Download SED & P(z) plots to view larger versions.
In P(z) plots: Yellow lines mark the cluster redshift z = 0.228,  

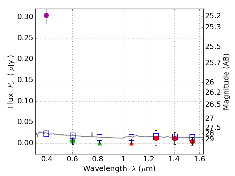
Object #3338   x,y = (2325, 2389)   RA, Dec = (06:03:15.096, 42:15:41.04) = (90.81290, 42.26140)   BPZ = 1.697 [0.879--2.432]   type = 11.00 (SB11_A_0_l)   stellarity = 0.78   chisq2 = 47.71   ODDS = 0.33   z_cluster = 0.228