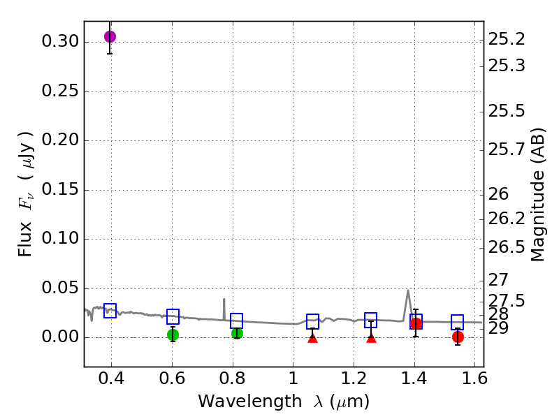
RXS0603+42-N IR detection object #3327

Color images and BPZ results
Catalog: 3327.cat
Black segments are analyzed here.   Roll mouse over color images to view segments.
Best viewed in a wide browser window (1200 pixels or more).   Download SED & P(z) plots to view larger versions.
In P(z) plots: Yellow lines mark the cluster redshift z = 0.228,  

Object #3327   x,y = (2226, 2393)   RA, Dec = (06:03:15.624, 42:15:41.40) = (90.81510, 42.26150)   BPZ = 1.762 [1.114--2.243]   type = 11.00 (SB11_A_0_l)   stellarity = 0.75   chisq2 = 61.55   ODDS = 0.44   z_cluster = 0.228