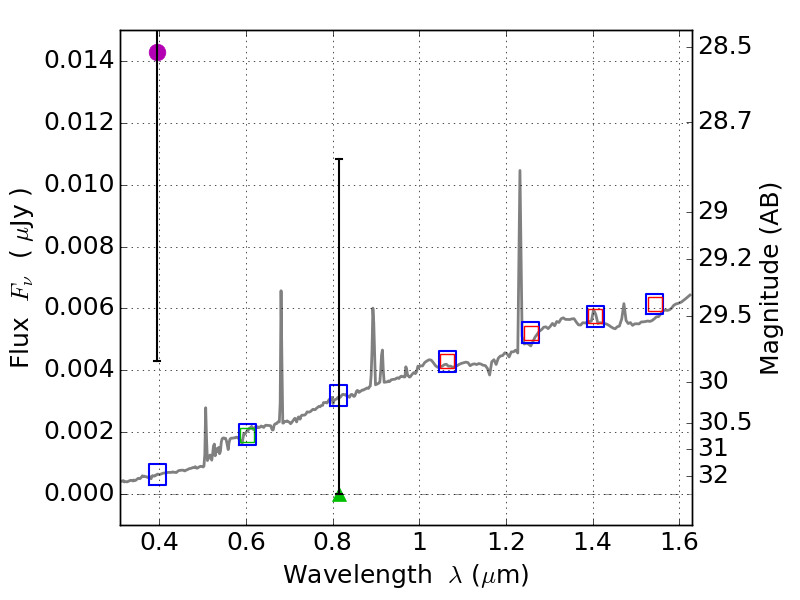
RXS0603+42-N IR detection object #3278

Color images and BPZ results
Catalog: 3278.cat
Black segments are analyzed here.   Roll mouse over color images to view segments.
Best viewed in a wide browser window (1200 pixels or more).   Download SED & P(z) plots to view larger versions.
In P(z) plots: Yellow lines mark the cluster redshift z = 0.228,  

Object #3278   x,y = (4574, 2407)   RA, Dec = (06:03:02.952, 42:15:42.12) = (90.76230, 42.26170)   BPZ = 0.363 [0.043--0.863]   type = 7.00 (Scd_B10)   stellarity = 0.66   chisq2 = 1.95   ODDS = 0.19   z_cluster = 0.228