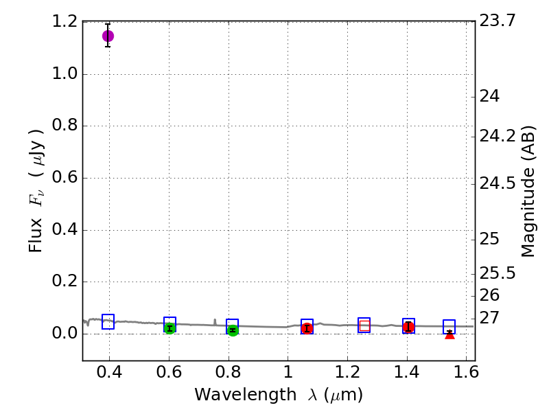
RXS0603+42-N IR detection object #3254

Color images and BPZ results
Catalog: 3254.cat
Black segments are analyzed here.   Roll mouse over color images to view segments.
Best viewed in a wide browser window (1200 pixels or more).   Download SED & P(z) plots to view larger versions.
In P(z) plots: Yellow lines mark the cluster redshift z = 0.228,  

Object #3254   x,y = (1661, 2421)   RA, Dec = (06:03:18.696, 42:15:42.84) = (90.82790, 42.26190)   BPZ = 1.697 [1.317--2.094]   type = 11.00 (SB11_A_0_l)   stellarity = 0.99   chisq2 = 213.40   ODDS = 0.62   z_cluster = 0.228