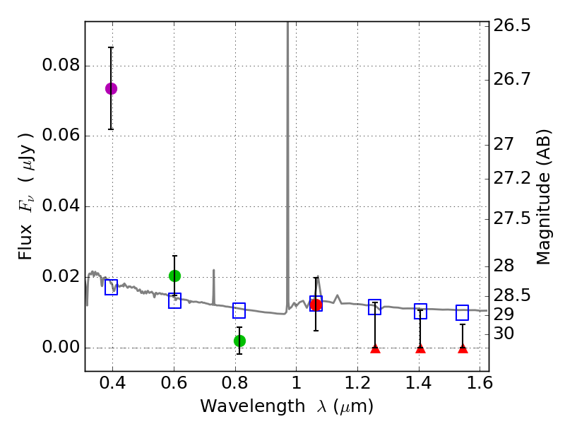
RXS0603+42-N IR detection object #3236

Color images and BPZ results
Catalog: 3236.cat
Black segments are analyzed here.   Roll mouse over color images to view segments.
Best viewed in a wide browser window (1200 pixels or more).   Download SED & P(z) plots to view larger versions.
In P(z) plots: Yellow lines mark the cluster redshift z = 0.228,  

Object #3236   x,y = (1694, 2428)   RA, Dec = (06:03:18.504, 42:15:43.20) = (90.82710, 42.26200)   BPZ = 1.612 [0.516--2.719]   type = 11.00 (SB11_A_0_l)   stellarity = 0.39   chisq2 = 8.31   ODDS = 0.25   z_cluster = 0.228