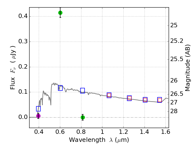
RXS0603+42-N IR detection object #3234

Color images and BPZ results
Catalog: 3234.cat
Black segments are analyzed here.   Roll mouse over color images to view segments.
Best viewed in a wide browser window (1200 pixels or more).   Download SED & P(z) plots to view larger versions.
In P(z) plots: Yellow lines mark the cluster redshift z = 0.228,  

Object #3234   x,y = (4576, 2424)   RA, Dec = (06:03:02.928, 42:15:43.20) = (90.76220, 42.26200)   BPZ = 3.229 [3.046--3.429]   type = 11.00 (SB11_A_0_l)   stellarity = 0.70   chisq2 = 266.40   ODDS = 0.92   z_cluster = 0.228