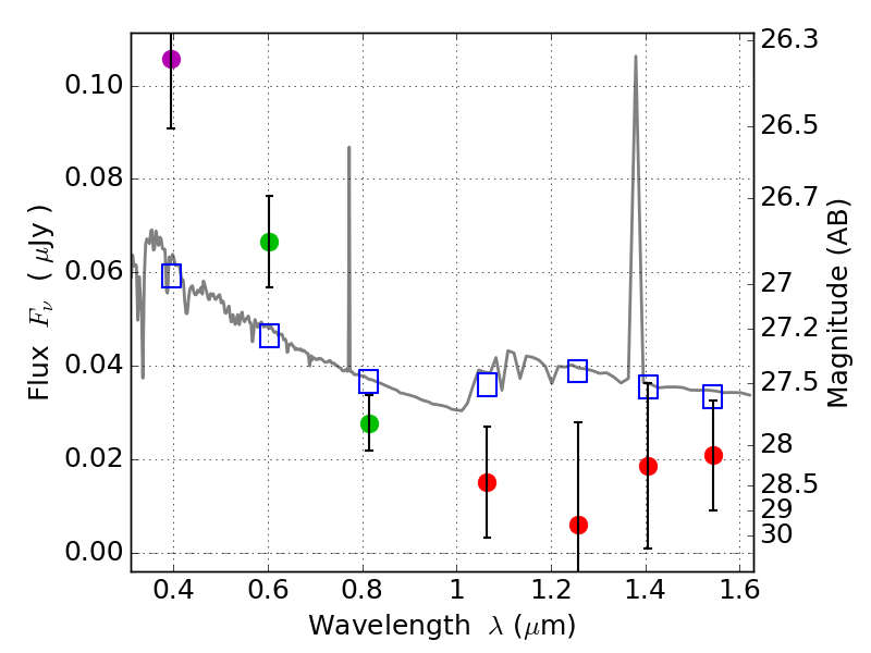
RXS0603+42-N IR detection object #3157

Color images and BPZ results
Catalog: 3157.cat
Black segments are analyzed here.   Roll mouse over color images to view segments.
Best viewed in a wide browser window (1200 pixels or more).   Download SED & P(z) plots to view larger versions.
In P(z) plots: Yellow lines mark the cluster redshift z = 0.228,  

Object #3157   x,y = (3310, 2531)   RA, Dec = (06:03:09.768, 42:15:49.68) = (90.79070, 42.26380)   BPZ = 1.764 [1.452--2.469]   type = 11.00 (SB11_A_0_l)   stellarity = 0.05   chisq2 = 5.25   ODDS = 0.33   z_cluster = 0.228