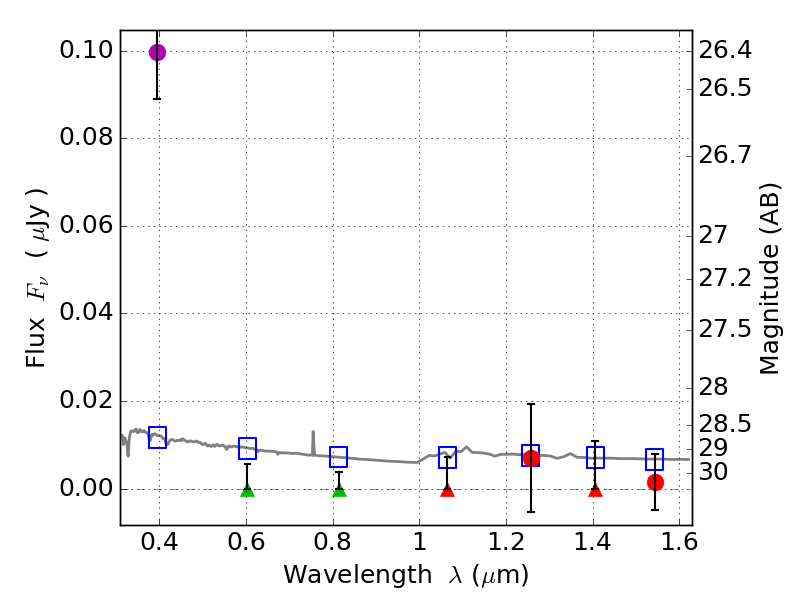
RXS0603+42-N IR detection object #3125

Color images and BPZ results
Catalog: 3125.cat
Black segments are analyzed here.   Roll mouse over color images to view segments.
Best viewed in a wide browser window (1200 pixels or more).   Download SED & P(z) plots to view larger versions.
In P(z) plots: Yellow lines mark the cluster redshift z = 0.228,  

Object #3125   x,y = (3241, 2467)   RA, Dec = (06:03:10.152, 42:15:45.72) = (90.79230, 42.26270)   BPZ = 1.699 [0.442--4.822]   type = 11.00 (SB11_A_0_l)   stellarity = 0.32   chisq2 = 18.18   ODDS = 0.19   z_cluster = 0.228